固体所在含能材料常压稳定性研究方面取得新进展

发布日期:2023-09-13 作者:陈果 浏览次数:1241

近期,中国科学院合肥物质院固体所计算物理与量子材料研究部在含能材料的常压表面稳定性研究方面取得新进展。研究人员利用第一性原理和分子动力学方法首次系统地研究了高能密度材料立方聚合氮(cg-N)的低指数表面在不同表面饱和状态和不同压力及温度下的稳定性,发现了cg-N低压下的失稳机制,提出了一种能够使其在常压下稳定的方法。相关结果以 “Route to Stabilize Cubic Gauche Polynitrogen to Ambient Conditions via Surface Saturation by Hydrogen ”为题以Express Letter的形式发表在Chinese Physics Letters (Chin. Phys. Lett. 40, 086102 (2023))上。      具有氮氮单键或氮氮双键的聚合氮和含氮化合物作为高能密度材料具有广阔的应用前景,其中高压合成是获得该类材料的有效方法。理论预测的多种能在常压下稳定的纯氮聚合氮,一些已被成功地在高压下合成。cg-N是纯氮聚合氮中最典型的一种,具有最小的合成压力,且0 GPa下的声子谱中没有虚率。然而,高压下合成的cg-N随着压力的降低将逐渐分解,同样的现象也出现在其它纯氮聚合氮材料中。目前高压下合成的纯氮聚合材料均不能被截获至常压环境,这阻碍了它们作为高能密度材料的应用。因此,研究低压下cg-N的分解机理并寻找其常压环境下稳定的方法具有重要意义。

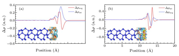
鉴于此,研究人员首先探究了cg-N失稳的原因,发现常压下cg-N低指数表面在300 K的温度时发生了结构坍塌,说明表面失稳将导致其在低压下分解。进一步研究表明,常压下氢吸附能够将cg-N的表面稳定到750 K以上(图1),但羟基吸附不能增加表面的稳定性。这是由于氢不但饱和了悬挂键,而且向氮表面转移了电子,但羟基却从氮表面获得电子(图2)。该工作为截获高压合成的聚合氮提供了一种新思路,表明酸性环境和电负性弱的材料有利于提高cg-N和其它含氮聚合物的稳定性,对推动聚合氮的常压合成和实际应用具有重要意义,同时也为截获其它功能材料的高压相提供了有效指导。

固体所博士生陈果和牛草萍为论文的共同第一作者,王贤龙研究员为通讯作者,研究得到了合肥物质科学研究院院长基金等项目的资助。

全文链接:https://iopscience.iop.org/article/10.1088/0256-307X/40/8/086102


图1. (a) 氢饱和表面在结构坍塌前(蓝线)后(红线)温度下的分子动力学均方位移;(b) 纯净表面和氢饱和表面在结构弛豫和有限温度下(最高达1000 K)的分子动力学模拟中的稳定性,雷达图不同的环表示不同的不稳定性,更外侧的环是更稳定的,r-(110c) 表示具有表面重构的110c表面。


图2. (a)和(b)分别展示了氢吸附的111a表面和羟基吸附的111a表面的电荷密度差。图中的曲线沿晶体结构(如插图所示)的 z 方向绘制,红线所示的局部积分曲线表示获得(正值)和失去(负值)电子,蓝线所示的积分曲线是红线的积分。