固体所在辐照效应模拟软件开发与纳米晶材料辐照损伤累积机制研究方面取得新进展

发布日期:2022-11-01 作者:李小林 浏览次数:1470

近期,中科院合肥研究院固体所刘长松研究员课题组在辐照效应模拟软件开发与纳米晶材料辐照损伤累积机制研究方面取得新进展,开发了一套纳米晶金属累积离位损伤模拟软件(“纳米晶金属累积离位损伤iOKMC模拟软件”),并以之登记软件著作权一项(登记号:2020SR1617986),授权发明专利一项(专利号:ZL201910276042.0)。利用该软件,课题组成员对铁基纳米结构材料中离位损伤累积机制开展了系列研究,相关成果以“Radiation damage accumulation mechanisms at iron grain boundaries revealed by coupled atomic and coarse-grained simulations via the parameter-passing and structural feedback”为题发表于核科学技术领域Top期刊Journal of Nuclear Materials (J. Nucl. Mater., 572, 154092(2022) )。李祥艳副研究员和博士生李小林为文章的共同第一作者,吴学邦研究员为共同通讯作者。作为先进核反应堆(如聚变堆)中的候选结构材料,铁在服役环境下会遭受高能粒子(如中子)的轰击,从而产生大量离位损伤,包括空位和自间隙原子。这些离位缺陷以及相应的团簇使得材料性能降级甚至失效,制约着反应堆地安全稳定运行。前期的研究表明,纳米结构材料,尤其是纳米晶材料具备良好的抗辐照性能。这得益于此类材料中大量的晶界能够捕获辐照缺陷并促进其复合,从而降低材料基体中辐照损伤的累积。

以往的多尺度模拟在揭示缺陷与界面相互作用的微观机理时,往往只关注到基本的原子过程,如扩散、偏聚、复合等。然而,在实际的服役条件下,纳米晶金属往往需要承受一定剂量的累积辐照。如果仅仅将基本的原子过程参数化,然后传递到粗粒化模拟技术中(如实体动力学蒙特卡洛,object kinetic Monte Carlo, OKMC),会由于该类技术忽略了具体的原子结构信息,无法获取离位损伤累积到一定程度后可能带来的新的物理过程,从而使得较高辐照剂量下的微结构演化预测失效。鉴于此,科研人员开发了一种既能达到实验剂量率和辐照剂量,又能根据剂量补充、校正已有原子过程的模拟技术,即所谓迭代的实体动力学蒙特卡洛模拟技术(iOKMC,图1)。

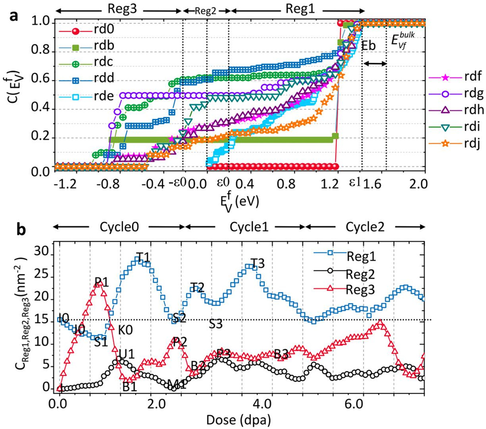
利用该技术,固体所科研人员对铁晶界中辐照缺陷的累积机制进行了探究,重点关注不同辐照条件下纳米晶铁中离位损伤的累积和演化,尤其是低温下晶界中的间隙加载及其引起的一系列晶界辐照功能图谱的变化。研究发现:(1)在较高的辐照温度或较低的剂量率条件下,晶界可有效地俘获空位和自间隙原子并促进其复合,降低辐照缺陷在晶粒内部的累积,从而达到修复辐照损伤的效果(图2);(2)在较高的剂量率或较低的温度下,随着辐照地进行,空位滞留在晶粒内部,而间隙原子不断在晶界累积(图2);(3)当间隙累积到一定浓度时,在晶界弛豫过程中,部分间隙消失并伴随新的晶界结构相形成。随着辐照剂量增加,间隙持续累积,伴随着晶界的局部运动,其逐渐回复到接近初始的状态(图3);(4)在间隙累积过程中,晶界的功能从捕获空位到湮灭空位发生了交替演变(图4);(5)将上述新的原子过程重新参数化并纳入到原有的OKMC模型中,发现晶界间隙浓度和晶界附近空位浓度出现了“增加-降低”交替变化的趋势,这不同于原始的模拟结果(图5)。该研究工作为探索实际累积辐照条件下辐照缺陷与晶界动态相互作用机理提供了跨尺度的图像,为进一步基于晶界工程优化多晶材料的抗辐照损伤性能提供了机理参考。

上述工作得到了国家重点研发计划、国家自然科学基金以及合肥研究院院长基金的支持。

文章链接:https://doi.org/10.1016/j.jnucmat.2022.154092


图1. 模拟纳米晶铁中辐照缺陷微结构演化的迭代方法示意图。绿色方块和红色圆圈分别代表空位和自间隙原子。


图2. (a-i) 块体和晶界中间隙/空位累积浓度随辐照剂量的变化;(j-m) 块体中空位浓度随空位-晶界距离的变化。


图3. 不同辐照剂量下弛豫后的晶界结构。


图4. (a) 不同辐照剂量下几个晶界体系中空位形成能的累积分布函数,符号Reg1、Reg2和Reg3分别表示具有不同位点稳定性的三个区间,此稳定性由该位点空位形成能表征;(b) 不同区间其相应位点密度随辐照剂量的变化。


图5. 晶界处间隙浓度(左轴)和晶界附近空位浓度(右轴)随辐照剂量的变化。