固体所在银纳米线薄膜力学失稳机制方面取得新进展

发布日期:2022-06-17 作者:王梦娇 浏览次数:1315

  近期,中科院合肥研究院固体所纳米材料与器件技术研究部季书林研究员团队对柔性电子重要材料的银纳米线薄膜在极端力学条件下的失稳机制开展研究,并取得新进展。该研究得到了中科院青年创新促进会的资助(2018485),以及国家自然科学基金、安徽省自然科学基金和企业研发项目的支持。相关成果以“Fracture behaviour of silver nanowire films during shear deformation”为题发表在Nanotechnology ( Nanotechnology, 2022, DOI: https://doi.org/10.1088/1361-6528/ac7731)上。

  银纳米线透明导电薄膜因其优异的导电性、光学高清和良好的柔韧性,在柔性电子领域展现突出的应用优势,广泛应用于触控屏、传感器、太阳电池以及薄膜加热器等领域,但实际应用中银纳米线薄膜的机械不稳定现象仍需要克服,如大规模卷对卷(R2R)生产中薄膜裁剪带来的边缘纳米线断裂问题限制了新型电子器件的发展。

  固体所柔性电子团队长期致力于包括力学稳定性、电学与热学稳定性等在内的纳米器件安全服役研究:为解决R2R生产中薄膜内银纳米线聚集引起电阻起伏带来的触控灵敏性下降、电学击穿问题,发明动态红外干燥技术克服浓度梯度相关的物质传输,生产的银纳米线薄膜均匀性优于ITO且在反复弯折中保持电阻稳定性(图1a);为满足反复触控时薄膜抗刮擦要求,调控柔性树脂与银纳米线界面状态来兼顾薄膜力学和电学性能,在满足折叠触控灵敏度前提下使表面硬度达到3H(图1b)。

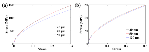
  为了研究剪切应力下薄膜中银纳米线的断裂行为,研究团队制备了不同结构参数的银纳米线薄膜。通过自制剪切装置对薄膜进行剪切实验,并结合电镜图片统计得到断裂范围,以此作为薄膜抗剪切断裂能力的依据。通过纳米压痕实验得到载荷-位移曲线(图2),计算了不同纳米线直径和薄膜厚度银纳米线薄膜的硬度H、弹性模量E和H3/E2数值来表征材料的塑性性能。与实验同时进行的理论模拟,利用有限元方法模拟得到应力-应变曲线(图3),通过应力-应变曲线计算的屈服强度下限判断塑性性能,趋势与实验测试结果一致。结合薄膜中银纳米线的断裂范围,发现了薄膜的塑性性能与剪切断裂的关系,并通过深入的显微结构分析(图4),进一步揭示了这一关系,即采用不同直径的纳米线及薄膜厚度来进行力传递,应力集中区缺陷的形核与运动带来的塑性变形会造成纳米线“颈缩”差异,银纳米线薄膜的塑性越好,抗剪切断裂能力越强。为此,在银纳米线与衬底之间加入超薄金属缓冲层来分散应力集中,能在不影响光学指标前提下提高薄膜抗剪切断裂能力,而且可以增加薄膜的挠曲稳定性。该工作为银纳米线薄膜的大规模工业应用提供了新思路。

  相关文章链接:

  https://doi.org/10.1088/1361-6528/ac7731

  https://pubs.acs.org/doi/10.1021/acsami.6b00500

  https://www.mdpi.com/2079-4991/9/4/557



图1. 折叠屏用银纳米线薄膜的抗弯折、抗表面刮擦性能。


图2. 不同纳米线直径以及薄膜厚度的银纳米线薄膜载荷位移曲线。



图3. 不同纳米线直径以及薄膜厚度的银纳米线薄膜应力应变曲线。


图4. 薄膜剪切应力下银纳米线断裂后不同部位的微结构表征。